Features Overview
Our Structural Health Monitoring Platform
A fully managed, cloud-hosted platform. We handle all the infrastructure, updates, and maintenance behind the scenes, so you get a reliable Structural Health Monitoring System (SHMS) without the complexity of managing hardware or software.
Data for Engineers
Our sensors capture the critical metrics that reveal how a building moves, responds, and evolves over time. These measurement types include acceleration, inter-storey displacement, response spectra, and long-term monitoring of the building's natural frequencies.
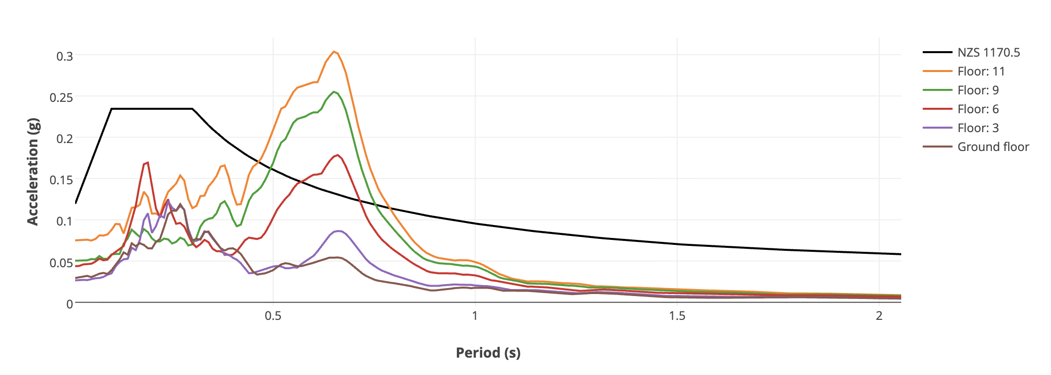
Acceleration Data
Acceleration data shows exactly how strongly your structure shook during an event. It helps engineers quickly understand if forces approached or exceeded design expectations, guiding fast decisions after an earthquake.
3D Event Animations
Our 3D Event Animations tool lets you replay seismic events to visually experience how a building shook during an earthquake. The timeline control provides fine-tuned navigation through the event, letting you focus on specific moments and examine the corresponding sensor data.
This feature-rich tool is available within minutes of an event, giving you near real-time insight into the building's response.
Rapid Alerting.Know When to Stay or Go.
After an earthquake, every minute counts. Our SHMS delivers email alerts within minutes to help engineers determine whether the building is safe to occupy or if further seismic inspections or evacuations are necessary.
Our traffic light system clearly communicates a building's status after an earthquake and the recommended action to take.
Event & Monthly Reports
Every recorded event generates a detailed, downloadable PDF report containing graphs, metrics, and structural response data to support engineering assessments and decision-making.
A monthly summary report is also included to track performance over time.
Mobile App Integration
Our app integrates seamlessly with our Structural Health Monitoring system, delivering data and graphs directly to your device, the moment they become available. Available for iOS and Android.
Additional Features
Earthquakes & Aftershocks Data
Access a comprehensive repository of earthquake and aftershock data.
'I Am Safe' Messages
Send felt reports or ‘I am safe’ messages to family/friends after an earthquake occurs.
Damage Reports
Create and view detailed reports of damage identified throughout your building after an earthquake.
APIs
We provide powerful APIs that give users access to their building's data, allowing engineers, developers, and facility managers to integrate it into their own systems, dashboards, or analytics tools. This enables custom reporting, monitoring, and decision-making tailored to their specific needs.
Relay Control
With SeismicSwitchSensor, actions can be triggered automatically when strong shaking is detected or as part of an Earthquake Early Warning network, enabling shutdowns and alerts.
